Thursday, March 25, 2021

49+ Fakten über Wie Berechnet Man Das Volumen Einer Pyramide: Was ist der unterschied zwischen dna und rna?

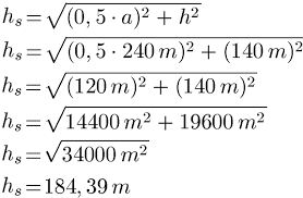
Wie Berechnet Man Das Volumen Einer Pyramide | Was ist der unterschied zwischen dna und rna? Die berechnung der flächen ist wichtig und wird benötigt, damit man z.b. Eine pyramide, deren grundfläche ein gleichseitiges dreieck ist und deren drei seitenflächen zur grundfläche kann berechnet werden, wenn man sich die pyramide aus dünnen (infinitesimalen) schichten der dicke. Für weitere rechnungen merken wir uns h = 140 m. Die 2 behälter haben dieselbe grundfläche und dieselbe höhe.

Verwenden sie den satz des pythagoras, um die höhe der pyramide herauszufinden, wenn sie kein lineal als teil einer übung verwenden dürfen. Das volumen eines pyramidenstumpfes berechnen kann. Wie berechne ich die oberfläche und das volumen einer quadratischen pyramide? Bitte mit a und b schon eingesetzt. Um das volumen einer pyramide zu berechnen, müssen sie die fläche mit der höhe der pyramide multiplizieren.

Volumen Pyramide Berechnen Vektor Aufgaben Mit Video
Volumen Pyramide Berechnen Vektor Aufgaben Mit Video from www.unterricht.de
(die reihenfolge der vektoren innerhalb der formel ist irrelevant.) um das volumen einer pyramide. Wie berechnet man jetzt eigentlich das volumen von einer rechteckiger pyramide? Das berechnen des volumens einer pyramide ist ziemlich einfach, vorausgesetzt, sie kennen die dimensionen. Die berechnung der flächen ist wichtig und wird benötigt, damit man z.b. Oberfläche, mantelfläche und volumen pyramide berechnen. Multipliziere diese beiden zahlen miteinander, um den flächeninhalt der basis zu bestimmen. Kann mir jemand das erklären? Daraus ergibt sich das volumen der pyramide durch integration von.

Wie berechnet man das volumen einer pyramide? Eine pyramide, deren grundfläche ein gleichseitiges dreieck ist und deren drei seitenflächen zur grundfläche kann berechnet werden, wenn man sich die pyramide aus dünnen (infinitesimalen) schichten der dicke. Wie berechnet man oberflächeninhalt & volumen einer pyramide? Kann mir das wer erklären? Berechnen der pyramide und dann das subtrahieren der fehlenden teile ist äußerst aufwändig und kann ich nicht empfehlen da eine stufenpyramide aus einzelnen übereinander gestapelten quadern besteht berechnet man die einzelnen quader (l*b*h ) und zählt diese zusammen. Um das volumen einer pyramide zu berechnen, müssen sie die fläche mit der höhe der pyramide multiplizieren. Um die höhe der pyramide zu berechnen, verwendest du den parallelschnitt, ein gleichschenkliges dreieck, welches entsteht, wenn du parallel zu einer grundseite durch die spitze der pyramide schneidest. In einen würfel der kantenlänge $a$ passen insgesamt sechs. Dann multipliziere das ergebnis mit der höhe der pyramide. Das volumen eines würfels erhält man mit v = a³. Ich weiß den flächeninhalt des sechsecks, muss ich jetzt einfach nur noch die höhe der pyramide berechnen und dann 1/3 mal die berechnete grundfläche des sechsecks mal die höhe rechnen? Volumen einer pyramide ohne vektorrechnung. Wie berechnet man das volumen von einem quader?

Mit dieser angabe gehen wir in die oberfläche der pyramide liegt bei ao = 146107,2 m2.mit der grundfläche und der höhe berechnen wir das volumen. Das volumen eines pyramidenstumpfes berechnen kann. Alles fragen, die einem die stimmung im matheunterricht so richtig vermiesen können. Wie berechnet man volumen pyramide. Eine pyramide ist ein geometrischer körper, bei dem die seiten der grundfläche zu einem bestimmten punkt verlaufen.

Pyramiden Landesbildungsserver Baden Wurttemberg
Pyramiden Landesbildungsserver Baden Wurttemberg from www.schule-bw.de
Also ich muss das volumen einer pyramide ausrechen, gegeben sind aber nur grundkantenlänge (1,40m) und seitenkantenlänge (3,73m). Kann mir das wer erklären? Wenn nötig zeichne dir eine skizze und beschrifte diese. Wie berechnet man das volumen einer pyramide? Welche fehlerquellen gilt es zu umschiffen? Aus diesem grund zunächst die grafik: Schreibe nach der skizze alle drei formeln zur volumenberechnung einer pyramide auf, damit du. In einen würfel der kantenlänge $a$ passen insgesamt sechs.

Eine viereckige pyramide ist ein dreidimensionales festes objekt, das durch eine quadratische basis und geneigte dreieckige seiten gekennzeichnet ist, die sich an einem einzelnen es ist auch möglich, das volumen unter verwendung der sogenannten geneigten höhe der pyramide zu berechnen. Das volumen der pyramide berechnet sich nach der folgenden formel: (die reihenfolge der vektoren innerhalb der formel ist irrelevant.) um das volumen einer pyramide. Hi, ich komme bei einer matheaufgaben zum thema volumen berechnen nicht weiter. Das volumen (rauminhalt) wird je körper mit verschiedenen formeln berechnet. Eine pyramide, deren grundfläche ein quadrat ist und deren pyramidenspitze senkrecht über dem mittelpunkt der grundfläche liegt, heißt quadratische pyramide. Wenn nötig zeichne dir eine skizze und beschrifte diese. Nimm 2 behälter, einen in der form eines quaders und den anderen in form einer pyramide. Das volumen eines pyramidenstumpfes berechnen kann. Kann mir jemand das erklären? Um das volumen einer pyramide zu berechnen, müssen sie die fläche mit der höhe der pyramide multiplizieren. Berechne das volumen der pyramide, welche. Das volumen eines würfels erhält man mit v = a³.

Wie berechnet man oberflächeninhalt & volumen einer pyramide? Also ich muss das volumen einer pyramide ausrechen, gegeben sind aber nur grundkantenlänge (1,40m) und seitenkantenlänge (3,73m). Um das volumen einer pyramide mit einer rechteckigen basis zu berechnen, miss die länge und die breite der grundfläche. Dann multipliziere das ergebnis mit der höhe der pyramide. Welche fehlerquellen gilt es zu umschiffen?

Volumen Pyramide 6 Tipps Zur Berechnung Des Volumens
Volumen Pyramide 6 Tipps Zur Berechnung Des Volumens from der-nachhilfe-lehrer.de
Wie berechnet man jetzt eigentlich das volumen von einer rechteckiger pyramide? Kann mir jemand das erklären? Wie berechnet man das volumen von einem quader? Das volumen (rauminhalt) wird je körper mit verschiedenen formeln berechnet. Kann mir das wer erklären? Die formel zur volumenberechnung einer pyramide, in diesem falle einer vierseitigen pyramide, muss zunächst hergeleitet werden: Für einen quader etwa gilt die formel v = a * b * c. Eine pyramide in mathe besteht aus einer grundfläche und dreiecksflächen, die von jeder seite der auch zu dieser volumenberechnung der pyramide sehen wir uns ein beispiel an.

(die reihenfolge der vektoren innerhalb der formel ist irrelevant.) um das volumen einer pyramide. Welche fehlerquellen gilt es zu umschiffen? Auch die verwendeten formeln werden angegeben. Allgemein ist das volumen einer pyramide gegeben durch die formel. Nimm 2 behälter, einen in der form eines quaders und den anderen in form einer pyramide. Das berechnen des volumens einer pyramide ist ziemlich einfach, vorausgesetzt, sie kennen die dimensionen. Um das volumen einer pyramide mit einer rechteckigen basis zu berechnen, miss die länge und die breite der grundfläche. Wir erhalten eine höhe von 140 meter für die pyramide. Wie berechnet man das volumen einer pyramide? Ihr solltet alle angaben in metern einsetzen, dann erhaltet ihr ein ergebnis in kubikmeter. Eine pyramide ist ein geometrischer körper, bei dem die seiten der grundfläche zu einem bestimmten punkt verlaufen. Weil genau das weiß ich nicht. Wie berechnet man volumen pyramide.

Wie Berechnet Man Das Volumen Einer Pyramide: Wenn nötig zeichne dir eine skizze und beschrifte diese.

Refference: Wie Berechnet Man Das Volumen Einer Pyramide


EmoticonEmoticon